ERRATA
Page 18
Line -4 and Line -6: Change O(h3) and O(h4)
to   O(h2)
Page 67
Replace A by [A|b] in Example 2.5.1
Page 22
Line 6: Change \eta = 1/3 to \eta = 21/2
and change \xi = 3 to \xi = 11/2
Page 82
Scalar Multiplication Box, Line 2: Change "... denoted by &alphaA, is defined ..."
To "... denoted by &alphaA (or equivalently A&alpha), is defined ..."
Page 95
Line 2: Correct the spelling of "introduced"
Page 107
Line 12: Change n to k to make the expression read
Ak = AA...A (k times)
Page 109
Lines 2-5, Line 7, and Line 14: For the matrices (but not the vectors) change P to T
Page 121
Line 6: Make A and B boldface.
Page 129
Last line before the exercises: Insert a space after "Example 5.12.1"
Page 137
Line 9: Remove the extraneous period (the first period in the sentence).
Page 139
Lines 5 and 8: In the subscripts of the displayed equations, enclose n-r and m-r in parentheses [i.e., write (n-r) and (m-r) ].
Page 155
The second half of the proof should be rewritten with the roles of R and RT interchanged as follows.
Page 169
Lines -1 and -6: Change the font on R from \alpha_i\in\cal R to \alpha_i\in\Re
Page 173
Line -11: f should be a function from Rn into Rm (rather than from Rm into Rn)
Page 176
Line 10: Delete the transpose superscript on y to make the expression look like this.
Line 16: Change the expression after the last implication to read as follows.
Page 178
Lines 10 and 12: Add the phrase "(transposed)" to the end of each line.
Page 204
Line -16: Change "... m independent nodal equations."
to "... m-1 independent nodal equations."
Page 217
In other words, the display on line 12 should be
$${\bf A}+{\bf E}\sim\pmatrix{{\bf I}+{\bf E}_{11}&{\bf 0}\cr {\bf 0}&{\bf S}\cr}$$
Line 12: Change the matrix in the upper left-hand block
to be ${\bf I}+{\bf E}_{11}$ instead of ${\bf I}-{\bf E}_{11}$.
Page 239
The discussion of the projector in the second bullet does not match Figure 4.7.2.
Change the discussion in the second bullet to reference Exercises 3.3.4 and 3.4.1.
Page 239
Change captions to 8 point font in Figures 4.7.1, 4.7.2, and 4.7.3
Page 273
Last line: Change = to less than or equal. Replace the last three lines with the following.
Page 274
Line 8 below the shaded box: Change the word "integers" to "real numbers"
Page 278
Line 9, Exercise 5.1.12b: y should be divided by the q-norm of y rather than x.
Line 9 should read as follows.
Page 279
Line 3: The (1,2)-entry in matrix A should be -1 instead of 1.
Page 281
Line 6 in the shaded box:
Change
to
to read:
![]()
Page 283
Equation (5.2.13):
Change V*V=I to VV*=I
Page 285
Exercise 5.2.6 (e):
Change V*V=I to VV*=I
Page 288
Lines 4 and 5 in the proof: Replace with the following.
Page 289
Line -4 (in the text):
Delete the exponent on ||x||. i.e., change ||x||2 to ||x||
Page 291
Example 5.3.4: The equation in the middle of the page should read as follows.
Page 297
Line 9: Change x and y to zx and zy
Page 302
Line 6: Change 4/n&pi to 4/(n&pi)
Page 320
The proof that isometries are unitary is incorrect.
Change the proof to read as follows.

Page 328
Line -3 inside of the shaded box: Add a subscript z to the boldface P to make the line read:
![]()
Page 333
First line below shaded box: Change "...rotations matrices..." to "...rotation matrices..."
Page 354
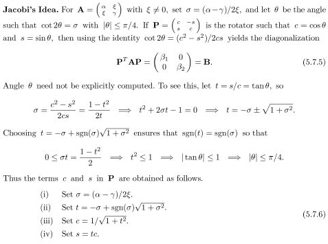
Line 15: The formulas for computing the paramaters for a Jacobi rotation are not correct.
Replace them with the ones shown below.
Page 357
Last line in shaded box: Make it read as follows.
Note. Throughout this section entries are indexed from 0 to n-1.
For example, the upper left-hand entry of Fn is considered to be in the (0,0) position
(rather than the (1,1) position), and the lower right-hand entry is in the (n-1, n-1) position.
When the context makes it clear, the subscript n on Fn is omitted.
Page 364
Line 3: Change 128/2 = 64 to 512/2 = 256.
Insert 1/2 in front of the matrix in the equation at the bottom of the page
Page 373
Line 7 inside of the shaded box: The shape subscript on vector D should be
2 j x1 instead of j+1x1
Last line inside of the shaded box: Change
to
Page 379
Exercise 5.8.12, Line 5: Change cj-k mod(n) to c(j-k) mod(n)
Page 383
Last line in shaded box: Add the parenthetical phrase (empty set) after greek letter phi
Page 389
Figure 5.9.2: Delete the greek subscript gamma from each greek theta
Page 395
Entire page: The properties and their proofs have been changed to be more precise and more rigorous.
Page 398
Example 5.10.3: Line 1 should read as follows.
Page 403
Line 1 below the first box: Change "... is a single vector ..." to "... is a single nonzero vector ..."
Page 412
Last Line: Change the subscript r to n
Page 414
Line 12 (last line in box): Change "... A is an orthogonal matrix."
to   "... A is a multiple of an orthogonal matrix."
Page 419
Line -9: Change qn to   qm in the query vector   qT
Page 420
Line 13: Change sk to   sn
Page 429
First line below the shaded box: Remove an extra "illustrated"
Page 435
Last Line: Change the last term in this line from ||p-m||22 to ||b-p||22
Page 442
Problem 5.13.17 (b): There are missing brackets. The expression should be: p=b-((u^Tb-beta)/uTu)u.
Problem 5.13.18 (b): The expression should be: p=b-(u^Tb/u^Tw)w.
Problem 5.13.18 (c): The expression should be: p=b-((u^Tb-beta)/u^Tw)w.
Pages 454-455
Minor corrections and simplifications are made.
Page 459
Paragraph 2, Line 7: Change Liebniz to Leibniz.
Page 483
Exercise 6.2.6: Change: cnx1 to cmx1
Page 497
Line 9: Change: x to xT
Page 498
Line 2: Change: "... are contained the union ..." To: "... are contained in the union ..."
Page 504
Line 1: Make the subscript on greek xi lower case. The line should read
Page 508
Line -4: Add the sentence
"Assume x1 is real (otherwise divide x by x1) and
nonzero (otherwise used a different eigenvector or resolve the issue with a symmetric
permutation PTAP)."
Page 510
Line 11: Delete extra space between p. and 590
Page 521
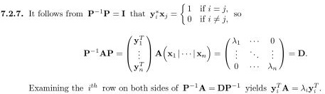
Exercise 7.2.7 is incorrectly worded. Replace it as shown below.
Page 527
Example 7.3.1, Line2: Change lower limit of summation in Neumann series expansion from k=1 to k=0
Page 534
Footnote, last line: Change "(1910-)" to "(1910-2001)" (Wielandt died on February 14, 2001)
Page 548
Line 5: Change = U = to =
Page 549
Line 6: Add the parenthetical remark
(all quantities in the proof on p. 547 become real when "normal" is replaced by "real-symmetric")
at the end of the first sentence of the second paragraph.
Page 562
Lines 13, 15, and 19: Change "fundamental mode(s)" to "normal mode(s)"
Line 16: Reverse the signs in lambda_2 and lambda_3 to read
Page 570
Line 4: The Hessian term in the display should be divided by 2. The correct formula is
Page 571
Lines 15 and 27: Change "fundamental mode(s)" to "normal mode(s)"
Page 574
Lines 9 and 10: The last sentence of the first paragraph should read
"... for every singular matrix A of index k with rank(Ak) = r, there is ..."
Page 578
Lines 9, 10, and 11: Change X4 to X4
Page 598
Line 13, Exercise 7.8.11: Reverse the roles of the exponents m and n
The correct statement is
Page 615
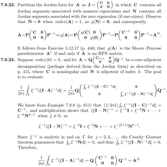
Change Exercise 7.9.22 as follows.
Page 627
Line -3: Change 7.10.28 to 7.10.25
Page 648
Remove the "det" in front of (xI - N)-1 in the equation on the middle of the page
Page 659
Exercise 7.11.4: Change m(x) and c(x) as follows.
m(x) = (x - λ)(x - μ)2
c(x) = (x - λ)3(x - μ)3
Pages 663-686
A complete update to Sections 8.2 & 8.3
All aspects regarding the Collatz-Wielandt formula in Sections 8.2 and 8.3
have been changed (including exercises). In particular,
the proof of the Collatz-Wielandt formula is greatly simplified, and incorrect statements are repaired.
Page 663
Statement (8.2.5) is not correct---remove it.
Page 664
Line 4: Make z boldface by changing Bz > z to Bz > z.
Page 666
Change the proof of the Collatz-Wielandt formula to read as follows.
Page 670
Line -6: Changing p to p*.
Page 674
Line 2 in Example 8.3.1: Add "z is nonzero" to the supposition.
Line 7: Change the phrase "A ≥ 0 and x > 0 forces Ax > 0" to read
"A ≥ 0, A ≠ 0, and x > 0 forces some (Ax)i > 0"
Page 678
Line 7 in Example 8.3.3: Replace 1 with 0. That is, say "roots of unity sum to 0"
Page 683
Line -4: Change it's to its.
Page 685
Exercise 8.3.7 (b). The corrected solution is as follows.
Page 691
Line 12: Change (8.3.8) to (8.3.10)
(Note: Make this change only if you installed the update for Sections 8.2 & 8.3 on pages 663-686.)
Page 695
Line 5, equation (8.4.6): Change Prr to P1r
in the first row of matrix P in (8.4.6).
Page 697
Line 12, equation (8.4.8): Change Prr to P1r
in the first row of T11 in (8.4.8).
INDEX Page 708
Line 36: Add the entry --- empty set, 383
INDEX Page 709
Change "fundamental mode of vibration" to "fundamental (normal) mode of vibration"
INDEX Page 713
Insert a new entry into the index -- "normal modes of vibration, 562, 571"
SOLUTIONS MANUAL Page 25
Solution 3.10.10 The Cholesky factor is upper triangular, and it is the transpose of the matrix given.
SOLUTIONS MANUAL Page 42
Solution 4.7.4 The solution is missing. It will be included in the next edition.
SOLUTIONS MANUAL Page 53
Solution 5.2.1 part c: The answer is 9 instead of sqrt{9}
SOLUTIONS MANUAL Page 54
Solution 5.2.6 part e: Change V*V=I to VV*=I
SOLUTIONS MANUAL Page 71
Solution 5.8.2 part b: The answer is e4 instead of 4e4
SOLUTIONS MANUAL Page 73
Solution 5.8.6 parts b and c: Reverse the order of the components in the vectors on
the left side of the equations in (b) and (c)---right side is okay.
SOLUTIONS MANUAL Page 92
Solution 5.10.12 parts (b) implies (c), (c) implies (d), and (d) implies (e) should read as follows.
SOLUTIONS MANUAL Page 102
Solution 5.12.16 part (d): Replace the first identity matrix I with VT and the second
I with V. Also, respectively insert V and VT on the left and right-hand side
of D2.
Solution 5.12.16 part(i): The last term in the second equality should be VT instead of
V, and the first term in the third equality should be V instead of VT.
Also very last equality should be removed.
SOLUTIONS MANUAL Page 129
Solution 7.1.22 part b: Make all subscripts on greek xi lower case. The expression should read
SOLUTIONS MANUAL Page 132
Solution 7.2.6: The constant term in the characteristic equation should be 9/10 instead of 1/2.
SOLUTIONS MANUAL Page 132-133
Solution 7.2.7: Exercise 7.2.7 has been reworded---see Errata for pg. 521. New solution is given below.
SOLUTIONS MANUAL Page 134
Solution 7.2.14: Last line of display: Change < alg multA to = alg multA
SOLUTIONS MANUAL Page 139
Solution 7.3.9: Change the last five sentences to read as follows.
SOLUTIONS MANUAL Page 146
Line 1: Change "fundamental modes" to "normal modes"
Solution to Exercise 7.6.4: Change 18u2 + 8v2 = 72 to 8u2 + 18v2 = 72
SOLUTIONS MANUAL Page 149
Solution to Exercise 7.7.7, Line 6: Change dim R(L) = 2 = dim R(L) to dim R(L) = 2 = dim N(L)
SOLUTIONS MANUAL Page 154
Solution to Exercise 7.9.5: Change f(z) = zn to f(z) = zk
Solution to Exercise 7.9.6: The (3,3)-entry in the matrix eA should be
7e4 - e2 (the 7 was missing).
SOLUTIONS MANUAL Page 155
Solution to Exercise 7.9.9: The answer to the second part of the question is "no." Consider a 2x2 matrix with eigenvalues 1 and -1
along with the function f(x) = x2.
SOLUTIONS MANUAL Page 158
Solutions to Exercises 7.9.22 and 7.9.23 should be changed as follows.
SOLUTIONS MANUAL Page 161
Solution to Exercise 7.10.9, Line 5: Change |1+w|n to |1-w|n
SOLUTIONS MANUAL Page 165
Solution to Exercise 7.11.4: The problem has been changed (see above). The solution
is changed by removing one μ from the diagonal.
SOLUTIONS MANUAL Pages 167-171
Solutions to exercises in Chapter 8 have changed.
Problems have been added and deleted in the revision of sections 8.2 and 8.3.
Back Cover
Correct the spelling of Mathematics in SIAM's address.
Please send other
errors that you have discovered or suggest improvements.